TL;DR
分布式系统研究如何让多台计算机协同工作,以达到更好的性能、具有容错、提供一致的服务。
一个读写服务
Jo 用他的服务器运行一个查询服务,这个服务提供一个接口:get(index) 读取 index 位置的值。

Jo 把这个服务运行在一个微型机上,用来为他的个人博客提供服务,当时他的网站还没有多少访问量,因此这个服务器正好胜任。某一天,Jo 写出了一篇爆款文章,他的网站涌入了上万的访问,这个微型机明显不能支持这样的流量,于是他的网站挂掉了。Jo 想要用 另一台 闲置的微型机来扩充这个服务。
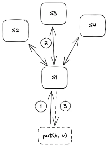
为了不重写整个网站的代码,两台微型机组成的系统应该提供 与单机一样的接口。Jo 想到一个最简单的方案,让两台机器都运行相同的服务,博客网站随机地请求其中的一个,这样两个服务器大致承载一半的流量,整个服务能够承载的访问量扩大了一倍。

Jo 还发现了另一个好处,他把两台机器分别放在家里和学校,当学校的网络故障时,家里的机器不受影响,整个服务仍然能正常工作(虽然能够承载的访问量下降了);反之,当家里停电时,学校里的机器还能正常运行。也就是说,这个查询服务具有了容错。
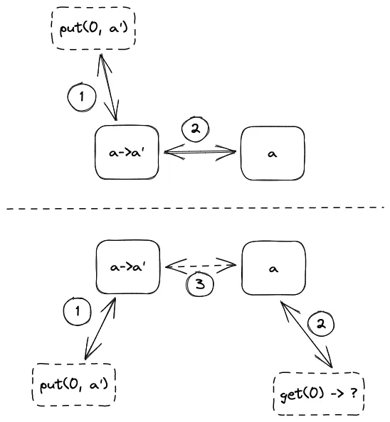
某一天,Jo 打算升级他的网站,他需要让这个查询服务支持另一个接口:put(index, value) 把 index 位置的值更新为 value。如果是原来的单机结构,需要的改动十分简单。但是,对于两台机器组成的系统,还需要考虑如何让两台机器的 状态保持一致:在一台服务器上的更新应该能在另一台服务器上查询到。

Jo 想到了一个方案:当任何一个服务器收到 put() 时,它们都要把更新同步给另一方。这个方案的一个问题是,如果两台服务器同时收到了对同一个位置的修改,即发生 冲突 时,它们应该如何处理呢?

Jo 想到了另一个方案,只有一个服务器接受 put() 请求,这样就不会产生冲突,但是这样的系统对于写操作的最大访问量并没有提升。

并且这两种方案都带来了一个新的问题:写操作的延迟要比单机提高了一倍!因为一次写操作中间增加了与其他机器同步的通信开销。如果按照同样的方式扩展这个系统,越多的机器就会带来越高的延迟!对于这个问题,Jo 想到的解决办法是 异步更新:写操作完成后再更新其他机器。但是如果在更新期间读取其他机器上的值,就会出现数据不一致的问题。


| 所有机器处理写操作 | 一台机器处理写操作 | |
|---|---|---|
| 同步更新 | 高延迟;存在冲突 | 高延迟;写操作访问量低 |
| 异步更新 | 不一致;存在冲突 | 不一致;写操作访问量低 |
分布式系统
读者或许很快就能想到一个更简单的解决方案:换一个更好的机器。是的,对于 Jo 的网站,或许用一个性能更好的机器就能解决最初的问题,而且也不会引入这些更复杂的问题。Jo 马上就能反驳:单机服务器缺少容错。
另一个原因是,随着摩尔定律的失效,单个计算机的算力不能无限增长。对于 Google 这样的公司,她们的服务访问量以亿万计数,在可见的未来,没有任何单机能够承载这样的访问量,因此研究 如何让多台计算机协同运作 是有必要的,这就是分布式系统。
与 Jo 折腾他的玩具分布式系统一样,工程师和研究者也在解决相同的问题:
-
如何利用多台计算机提高容错?
如果这个系统十分“精密”,需要所有的计算机都正常工作才能运行,那么这个系统运作的概率比单个计算机正常运行的概率要低得多。用一个简单的概率乘法模型来计算,每台计算机正常工作的概率是
, 台计算机组成的系统只有 的概率正常工作。如果 Google 的服务器按照这样运行,那么她们的服务几乎不可用;而且,她们购买越多的机器,系统能运行的可能就越低!相反,如果这个系统有一定容错,在其中一些计算机失效的情况下还能运行,那么整个系统的容错就比单台计算机更高。
-
如何利用多台计算机提高性能?性能包括了延迟和容量。前者是指单次请求需要经过多久才能完成;后者是指系统能承受多少 并发 的请求。
-
如何在多台计算机之间保持一致性?
-
容易被忽视的一点是,如何使系统保持简单?分布式系统领域中有很多例子能够说明,简单的系统更可能取得成功,因为它们容易实现和维护。